Да здравствует то, благодаря чему мы - несмотря ни на что!
Методический
материал
Видеоуроки
Домашняя
работа
Портфолио
Полезные
программы
Задать
вопрос

7 класс     8 класс     9 класс     10БВ классы     10А класс    

Домашняя работа №3 (8 класс)

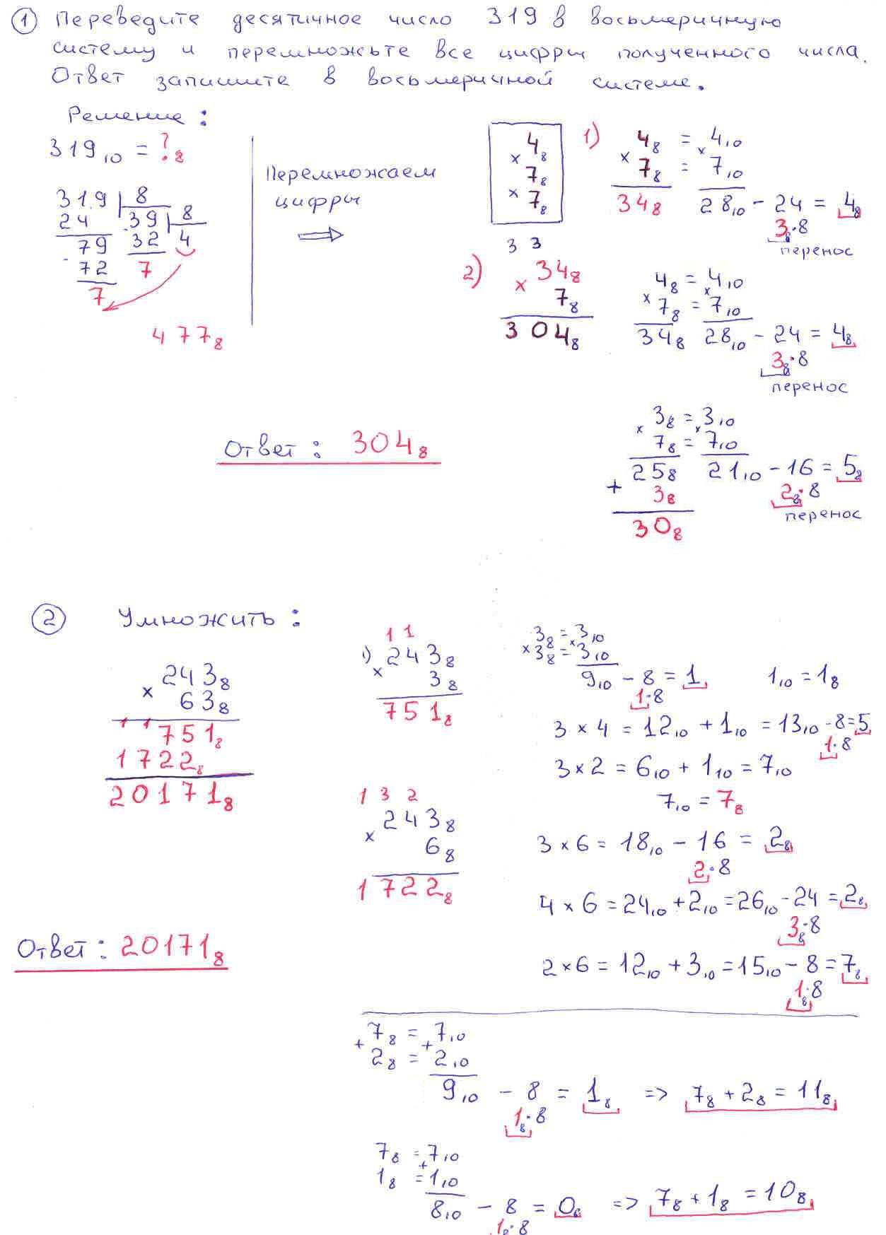
Текст задания

1.  Найти произведение цифр восьмеричного числа полученного посредством перевода десятичного числа. Ответ записать в восьмеричной системе.

2.  Найти произведение восьмеричных чисел.

  Видеоурок к данной теме 


Пример решения аналогичных заданий:


Задания:


Показать ответы на задания

© Прохоров В.А., учитель информатики и ИКТ