Да здравствует то, благодаря чему мы - несмотря ни на что!
Методический
материал
Видеоуроки
Домашняя
работа
Портфолио
Полезные
программы
Задать
вопрос

7 класс     8 класс     9 класс     10БВ классы     10А класс    

Домашняя работа №3 (9 класс)

Текст задания

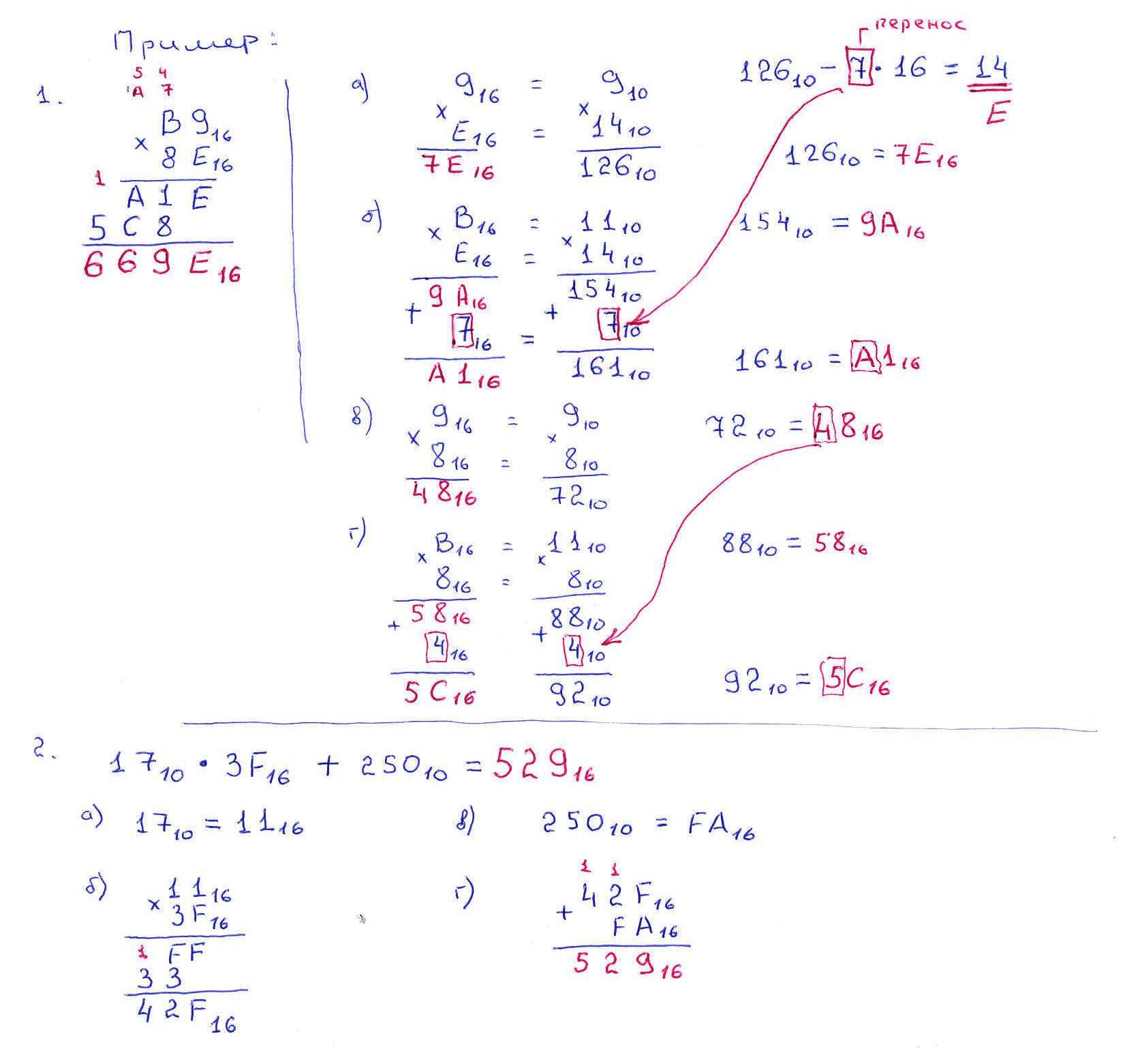
1.  Умножить числа (ответ в 16-ой системе).

2.  Решить пример (ответ в 16-ой системе).

Пример решения аналогичных заданий:


Задания:


Показать ответы на задания

© Прохоров В.А., учитель информатики и ИКТ