Да здравствует то, благодаря чему мы - несмотря ни на что!
Методический
материал
Видеоуроки
Домашняя
работа
Портфолио
Полезные
программы
Задать
вопрос

7 класс     8 класс     9 класс     10БВ классы     10А класс    

Домашняя работа №4 (8 класс)

Текст задания

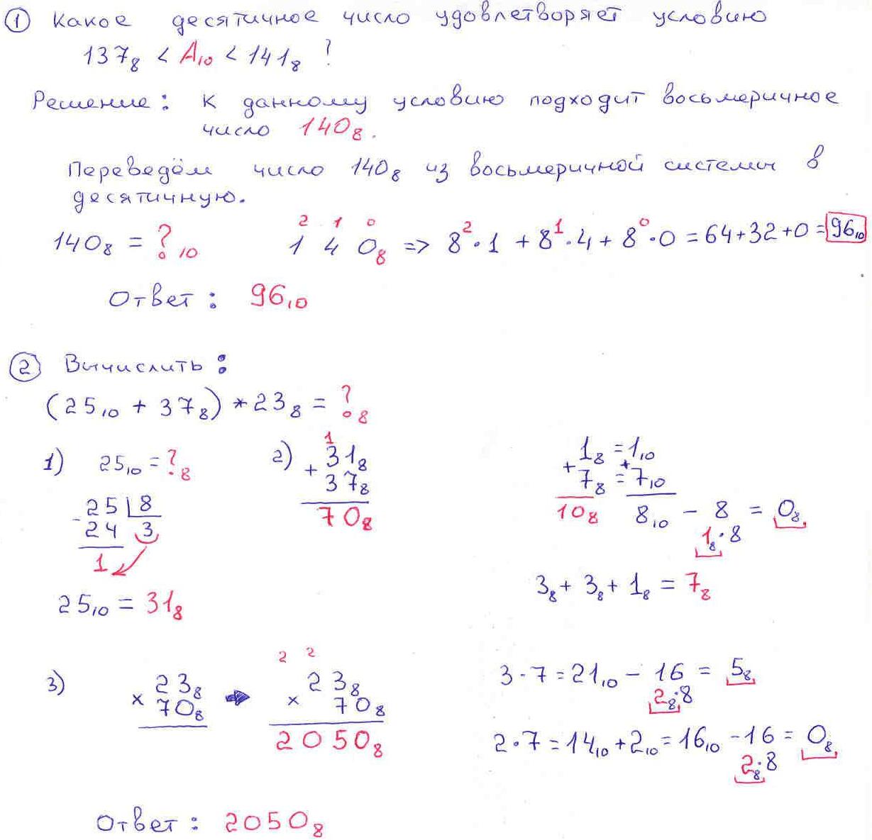
1.  Какое десятичное число удовлетворяет условию?

2.  Вычислить.

Пример решения аналогичных заданий:


Задания:

© Прохоров В.А., учитель информатики и ИКТ