Да здравствует то, благодаря чему мы - несмотря ни на что!
Методический
материал
Видеоуроки
Домашняя
работа
Портфолио
Полезные
программы
Задать
вопрос

7 класс     8 класс     9 класс     10БВ классы     10А класс    

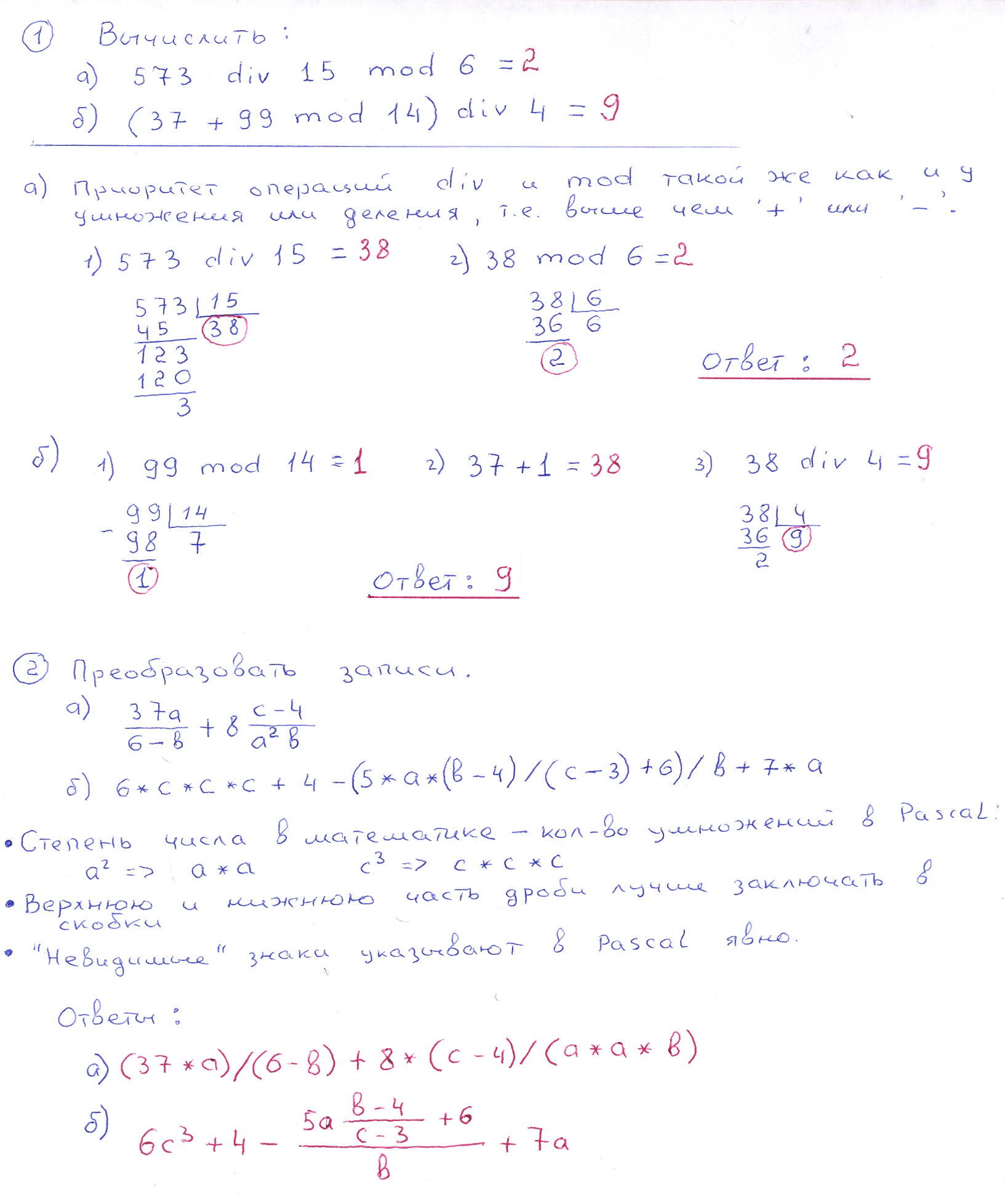
Домашняя работа №6 (8 класс)

Текст задания

1.  Вычислить.

2.  Преобразовать записи.

Пример решения аналогичных заданий:


Задания:

© Прохоров В.А., учитель информатики и ИКТ